 
															Estudios científicos sobre TPM
Conscientes de la necesidad de seguir avanzando en el conocimiento de TPM, hemos creado esta apartado donde el  Sr. Hector Alvarez Laverde, matemático, master en estadística, master en ingeniería de producción y PhD en Ingeniería Industrial con especialidad en ciencia de datos, graduado por la JUSE (Japón) periódicamente compartirá estudios de investigación científica que ha identificado en la literatura académica especializada y que revisará, facilitando la comprensión de los estudios, hallazgos y conclusiones.
De esta manera The TPM Academy se consolida como referente en conocimiento “leading edge” de la metodología y práctica útil para nuestros clientes, alumnos y seguidores en nuestras redes sociales.
 
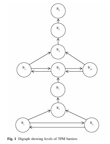
															Análisis de las barreras para introducir TPM en una organización
Nombre del artículo: Analysis of barriers of Total Productive Maintenance (TPM)
Autores: Rajesh Attri – Sandeep Grover – Nikhil Dev – Deepak Kumar. Advanced Institute of Technology & Management, Palwal 121105, India
 
															Estudio del efecto del desarrollo de pilares TPM en la mejora del OEE en varios sectores industriales en empresas de Brasil.
Nombre del artículo: Total Productive Maintenance and the Impact of Each Implemented Pillar in the Overall Equipment Effectiveness
Autores: José Carlos Meca Vital and Carlos Roberto Camello Lima, MSc., Production Engineering Graduate Program, Methodist University of Piracicaba, Brasil, Professor, School of Engineering, Mackenzie Presbyterian University, BRAsIL
 
															Estudio PLS-Path para identificar el efecto de los pilares TPM en el incremento del OEE.
Nombre del artículo: “THE EVALUATION OF EIGHT PILLARS TOTAL PRODUCTIVE MAINTENANCE (TPM) IMPLEMENTATION AND THEIR IMPACT ON OVERALL EQUIPMENT EFFECTIVENESS (OEE) AND WASTE”
Autores: Herry Agung Prabowo, Yudha Bobby Suprapto, Farida Farida. Department of Industrial Engineering, Faculty of Engineering, Universitas Mercu Buana. Jl. Raya Meruya Selatan, Kembangan, Jakarta 11650, Indonesia
